ЕГЭ 2026. Экзаменационная работа состоит из двух частей, включающих в себя 19 заданий. Часть 1 содержит 12 заданий с кратким ответом базового и повышенного уровней сложности. Часть 2 содержит 7 заданий с развёрнутым ответом повышенного и высокого уровней сложности.
Пробный вариант составлен на основе официальной демоверсии от ФИПИ за 2026 год.
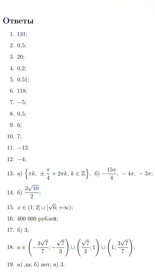
В конце варианта приведены правильные ответы ко всем заданиям. Вы можете свериться с ними и найти у себя ошибки.
Скачать тренировочный вариант ЕГЭ: Скачать
Скачать ответы варианта ЕГЭ: Скачать
Или создайте свой оригинальный вариант: Перейти
Интересные задания:
1. Два угла вписанного в окружность четырёхугольника равны 86∘ и 49∘ . Найдите больший из оставшихся углов. Ответ дайте в градусах.
3. Через среднюю линию основания треугольной призмы, объём которой равен 80, проведена плоскость, параллельная боковому ребру. Найдите объём отсечённой треугольной призмы.
4. На олимпиаде по химии 300 участников разместили в трёх аудиториях. В первых двух удалось разместить по 120 человек, оставшихся перевели в запасную аудиторию в другом корпусе. Найдите вероятность того, что случайно выбранный участник писал олимпиаду в запасной аудитории.
5. Телефон передаёт SMS-сообщение. В случае неудачи телефон делает следующую попытку. Вероятность того, что сообщение удастся передать без ошибок в каждой отдельной попытке, равна 0,3. Найдите вероятность того, что для передачи сообщения потребуется не больше двух попыток.
8. На рисунке изображены график функции 𝑦 = 𝑓(𝑥) и касательная к нему в точке с абсциссой 𝑥0. Найдите значение производной функции 𝑓(𝑥) в точке 𝑥0.
9. В ходе распада радиоактивного изотопа его масса 𝑚 (в мг) уменьшается по закону 𝑚 = 𝑚0 · 2 − 𝜏 𝑇 , где 𝑚0 – начальная масса изотопа (в мг), 𝜏 – время, прошедшее от начального момента, в минутах, 𝑇 – период полураспада в минутах. В начальный момент времени масса изотопа 100 мг. Период его полураспада составляет 2 мин. Найдите, через сколько минут масса изотопа будет равна 12,5 мг.
10. Баржа в 10:00 вышла из пункта А в пункт В, расположенный в 30 км от А. Пробыв в пункте В 1 час 30 минут, баржа отправилась назад и вернулась в пункт А в 22:00 того же дня. Определите (в км/ч) собственную скорость баржи, если известно, что скорость течения реки 3 км/ч.
12. Найдите точку минимума функции 𝑦 = 13 + 48𝑥 − 𝑥 3 .
14. Дана правильная четырёхугольная призма 𝐴𝐵𝐶𝐷𝐴1𝐵1𝐶1𝐷1. Плоскость 𝛼 проходит через вершины 𝐵1 и 𝐷 и пересекает рёбра 𝐴𝐴1 и 𝐶𝐶1 в точках 𝑀 и 𝐾 соответственно. Известно, что 𝑀 – середина ребра 𝐴𝐴1.
a) Докажите, что 𝑀𝐵1𝐾𝐷 – ромб.
б) Найдите площадь ромба 𝑀𝐵1𝐾𝐷, если объём призмы 𝐴𝐵𝐶𝐷𝐴1𝐵1𝐶1𝐷1 равен 9, а площадь её основания 𝐴𝐵𝐶𝐷 равна 3.
16. В июле 2026 года планируется взять кредит на три года в размере 900 тыс. рублей. Условия его возврата таковы: – каждый январь долг будет возрастать на 20 % по сравнению с концом предыдущего года; – с февраля по июнь каждого года необходимо выплатить часть долга; – платежи в 2027 и 2028 годах должны быть равны; – к июлю 2029 года долг должен быть выплачен полностью. Известно, что платёж в 2029 году составит 499,2 тыс. рублей. Сколько рублей составит платёж в 2027 году?
17. Прямая, проходящая через вершину 𝐵 прямоугольника 𝐴𝐵𝐶𝐷 перпендикулярно диагонали 𝐴𝐶, пересекает сторону 𝐴𝐷 в точке 𝑀, равноудалённой от вершин 𝐵 и 𝐷.
а) Докажите, что лучи 𝐵𝑀 и 𝐵𝐷 делят угол 𝐴𝐵𝐶 на три равные части.
б) Найдите расстояние от центра прямоугольника до прямой 𝐶𝑀, если 𝐵𝐶 = 6√ 21.
19. На доске написано 30 различных натуральных чисел, каждое из которых либо чётное, либо его десятичная запись оканчивается на цифру 9. Сумма написанных чисел равна 877.
a) Может ли на доске быть ровно 27 чётных чисел?
б) Могут ли ровно два числа на доске оканчиваться на 9?
в) Какое наименьшее количество чисел, оканчивающихся на 9, может быть на доске?
Вам будет интересно:
ЕГЭ по математике (профиль) 11 класс 2026. Новый тренировочный вариант №18 (задания и ответы)
