ЕГЭ 2026. Экзаменационная работа состоит из двух частей, включающих в себя 19 заданий. Часть 1 содержит 12 заданий с кратким ответом базового и повышенного уровней сложности. Часть 2 содержит 7 заданий с развёрнутым ответом повышенного и высокого уровней сложности.
Пробный вариант составлен на основе официальной демоверсии от ФИПИ за 2026 год.
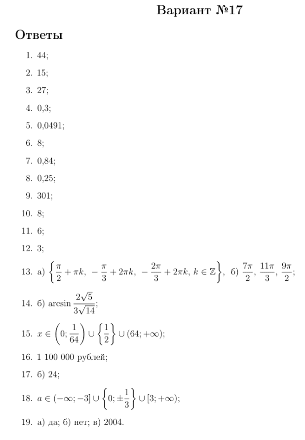
В конце варианта приведены правильные ответы ко всем заданиям. Вы можете свериться с ними и найти у себя ошибки.
Скачать тренировочный вариант ЕГЭ: Скачать
Скачать ответы варианта ЕГЭ: Скачать
Или создайте свой оригинальный вариант: Перейти
Интересные задания:
1. Четырёхугольник 𝐴𝐵𝐶𝐷 вписан в окружность. Угол 𝐵𝐴𝐷 равен 136∘ . Найдите угол 𝐵𝐶𝐷. Ответ дайте в градусах.
3. Цилиндр и конус имеют общие основание и высоту. Объём конуса равен 9. Найдите объём цилиндра.
4. В соревнованиях по толканию ядра участвуют спортсмены из четырёх стран: 6 из Эстонии, 9 из Латвии, 7 из Литвы и 8 из Польши. Порядок, в котором выступают спортсмены, определяется жребием. Найдите вероятность того, что спортсмен, выступающий первым, окажется из Латвии.
5. Автоматическая линия изготавливает батарейки. Вероятность того, что готовая батарейка неисправна, равна 0,01. Перед упаковкой каждая батарейка проходит систему контроля. Вероятность того, что система забракует неисправную батарейку, равна 0,95. Вероятность того, что система по ошибке забракует исправную батарейку, равна 0,04. Найдите вероятность того, что случайно выбранная из упаковки батарейка будет забракована.
8. На рисунке изображены график функции 𝑦 = 𝑓 (𝑥) и касательная к нему в точке с абсциссой 𝑥0. Найдите значение производной функции 𝑓 (𝑥) в точке 𝑥0.
10. Первая труба пропускает на 5 литров воды в минуту меньше, чем вторая. Сколько литров воды в минуту пропускает первая труба, если резервуар объёмом 104 литра она заполняет на 5 минут дольше, чем вторая труба?
11. На рисунке изображён график функции вида 𝑓(𝑥) = log𝑎 𝑥. Найдите значение 𝑓(64).
14. B основании прямой треугольной призмы 𝐴𝐵𝐶𝐴1𝐵1𝐶1 лежит равнобедренный треугольник 𝐴𝐵𝐶 с основанием 𝐴𝐶. Точка 𝐾 – середина ребра 𝐴1𝐵1, а точка 𝑀 делит ребро 𝐴𝐶 в отношении 𝐴𝑀 : 𝑀𝐶 = 1 : 3.
a) Докажите, что 𝐾𝑀 ⊥ 𝐴𝐶.
б) Найдите угол между прямой 𝐾𝑀 и плоскостью 𝐴𝐵𝐵1, если 𝐴𝐵 = 6, 𝐴𝐶 = 8 и 𝐴𝐴1 = 3.
16. 15-го декабря планируется взять кредит в банке на 21 месяц. Условия его возврата таковы: – 1-го числа каждого месяца долг возрастает на 3 % по сравнению с концом предыдущего месяца; – со 2-го по 14-е число каждого месяца необходимо выплатить часть долга; – 15-го числа каждого месяца с 1-го по 20-й долг должен быть на 30 тысяч рублей меньше долга на 15-е число предыдущего месяца; – к 15-му числу 21-го месяца кредит должен быть полностью погашен. Какую сумму планируется взять в кредит, если общая сумма выплат после полного его погашения составит 1 604 тысячи рублей?
17. Окружность с центром в точке 𝑂 высекает на всех сторонах трапеции 𝐴𝐵𝐶𝐷 равные хорды.
a) Докажите, что биссектрисы всех углов трапеции пересекаются в одной точке.
б) Найдите высоту трапеции, если окружность пересекает боковую сторону 𝐴𝐵 в точках 𝐾 и 𝐿 так, что 𝐴𝐾 = 15, 𝐾𝐿 = 6, 𝐿𝐵 = 5.
19. Каждое из четырёх последовательных натуральных чисел, последние цифры которых не равны нулю, поделили на его последнюю цифру. Сумма получившихся чисел равна 𝑆.
а) Может ли 𝑆 быть равной 16 5 6 ?
б) Может ли 𝑆 быть равной 569 29 126 ?
в) Найдите наибольшее целое значение 𝑆, если каждое из исходных чисел было трёхзначным.
Вам будет интересно:
ЕГЭ по математике (профиль) 11 класс 2026. Новый тренировочный вариант №17 (задания и ответы)
